Gaza Authorities Shared A 1,516-Page Document Of Every Palestinian Killed, With 27 Pages Being Babies Aged 0
The first 474 pages of the document are all children under 18.
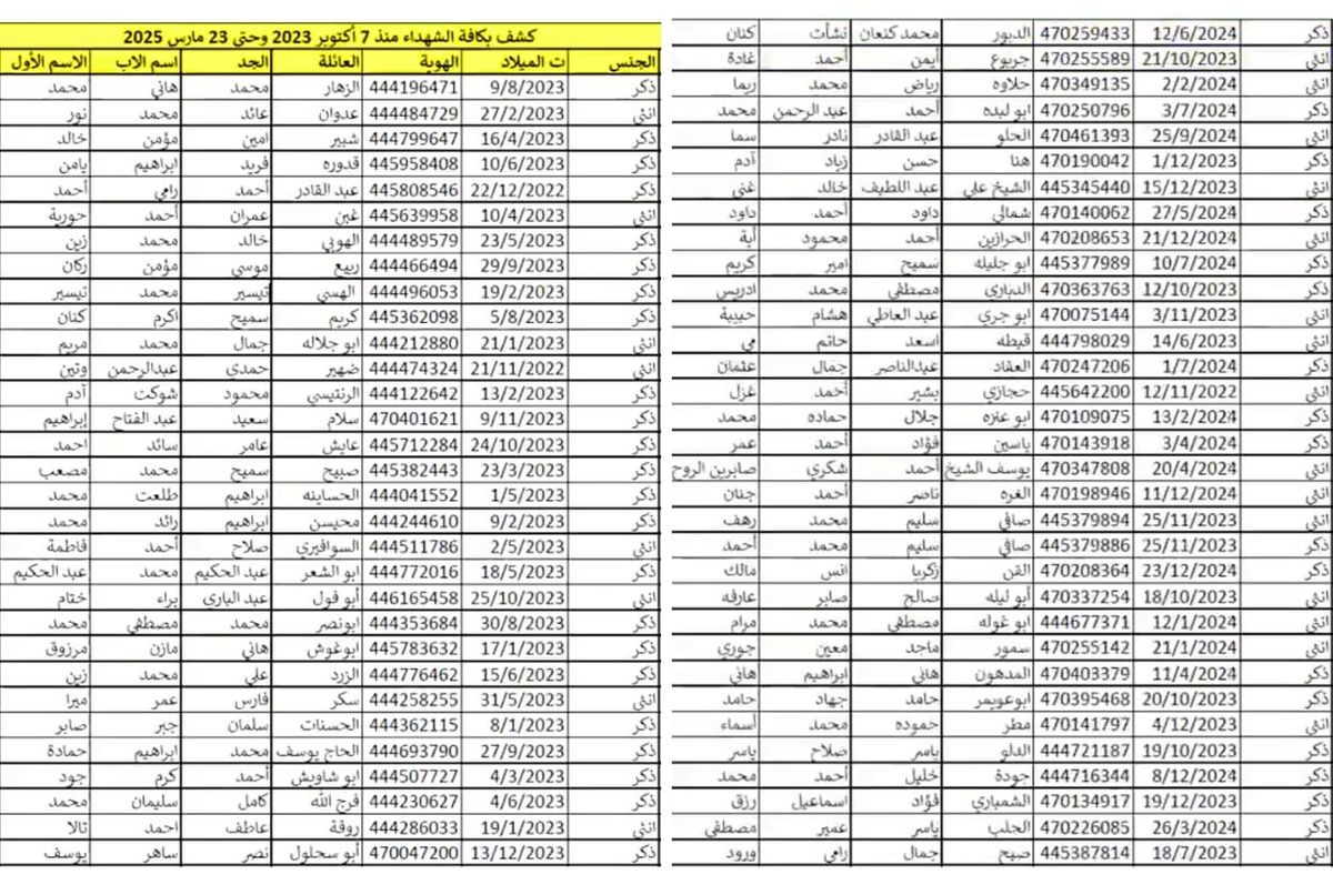
The Palestinian Ministry of Health in Gaza has published a 1,516-page document identifying the more than 50,000 Palestinians who have been killed in Gaza from Oct. 7, 2023, to March 23, 2025.
The document, shared on the Ministry’s Telegram on Sunday, March 23, includes the name, age, gender and ID number of each person it was able to identify.
Gaza’s Ministry of Health has reported that at least 50,144 Palestinians have been killed, and nearly 113,704 have been injured as of Tuesday, March 25.
The first 474 pages of the document are all children under 18, with more than 17,900 children killed, including 270 infants who were born and killed during the war.
However, the confirmed death toll does not include more than 14,222 Palestinians who remain missing or are presumed dead, as many are still buried under the rubble, Al Jazeera reported.
After Israel and Hamas agreed to a ceasefire that lasted nearly two-month, Israel resumed its genocide in Gaza on March 18, after refusing to proceed with phase two of the ceasefire and killing more than 400 Palestinians in less than 24 hours.
Since breaking the ceasefire, Israel has killed more than 730 Palestinians, including at least 200 children.
It has also imposed a total blockade of aid which has led to severe shortages of food, water, medicine and fuel in the region, according to Al Jazeera.
In addition, Israel issued displacement orders to about 15% of the area of the Gaza Strip, forcing nearly 120,000 Palestinians to flee their homes since March 18, according to the UN humanitarian office.
More On Israel's Genocide In Gaza





